| Autor |
Nachricht |
|
Reinhard
|
Betreff des Beitrags: Week 6 Problems Verfasst: 07.04.2014, 13:26 |
|
| Eprouvettenschüttler/in |
 |
 |
Registriert: 12.09.2008, 12:56 Beiträge: 168 Wohnort: Krems a. d. Donau
|
|
Servus!
Anbei die Week 6 Problems!
Bei Frage 1 käme bei mir eine Freezing temperatur von -8°C heraus. mMn nicht sehr viel bei 30% Glycerin aber laut einer schnellen Google-Suche plausibel (Literatur sagt, dass diese Wespenart -7°c bis -17°C aushält).
Bei Frage 2 habe ich Probleme mit dieser kruden Einheit des osmotischen Drucks. Was zur Hölle sollen "cm soln" sein? Schätze mal, dasses "cm of solution" heissen soll und quasi den Pegelhöhenunterschied in einem U-Rohr (welches mit beiden Flüssigkeiten gefüllt ist) darstellen soll. Das ist zwar ganz nett aber wie soll ich das auf vernünftige Druckeinheiten umrechnen? Bin für Vorschläge dankbar.
Lg
Edit: Meine unschöne Kritzelei aufm Zettel soll übrigens "Big polymer" heissen und andeuten, dass wir/er Molekülmassen von mehreren Tausend Dalton erwarten.
| Dateianhänge: |

Week_6.jpg [ 278.55 KiB | 1146-mal betrachtet ]
|
|
|
 |
|
 |
|
sophv
|
Betreff des Beitrags: Re: Week 6 Problems Verfasst: 07.04.2014, 13:54 |
|
| Versuchskaninchen |
 |
 |
Registriert: 01.03.2011, 19:35 Beiträge: 45
|
Wir haben die cm mit der Formel p=rho*g*h in kPa umgerechnet... Am Ende kommt dann 140 kg/mol raus, das sollte laut den Beträgen vom letzten Jahr passen 
|
|
 |
|
 |
|
Reinhard
|
Betreff des Beitrags: Re: Week 6 Problems Verfasst: 07.04.2014, 14:23 |
|
| Eprouvettenschüttler/in |
 |
 |
Registriert: 12.09.2008, 12:56 Beiträge: 168 Wohnort: Krems a. d. Donau
|
|
Ok....die Einheiten stimmen schon mal.......Ich versuche mir nur grade in meinem Hirn zusammenzureimen, ob das irgendwie Sinn macht: D.h. der so errechnete Druck wäre jener Druck, der auf die Membran wirkt, um die Flüssigkeit der Dichte rho gegen das Schwerefeld g um die Höhe h zu "verdrängen". Makes sense, I guess.
Wär ich auch nie drauf gekommen. WTF?
|
|
 |
|
 |
|
RenateW
|
Betreff des Beitrags: Re: Week 6 Problems Verfasst: 08.04.2014, 14:42 |
|
| Versuchskaninchen |
 |
 |
Registriert: 29.01.2014, 11:50 Beiträge: 44
|
|
Hey beim ersten Beispiel komm ich nicht weiter. Wie geht euer Ansatz.
LG
|
|
 |
|
 |
|
Daffman
|
Betreff des Beitrags: Re: Week 6 Problems Verfasst: 08.04.2014, 16:04 |
|
| Versuchskaninchen |
 |
 |
Registriert: 17.09.2010, 13:37 Beiträge: 64
|
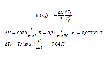
Hello  ich war nicht in der Vorlesung, habe aber Mitschriften bekommen und mir irgendwie einen Rechenweg zusammengebastelt. Wäre echt nett, wenn jemand seinen Senf dazugeben könnte als ergebnis bekomme ich dann um die -9,8 K für ein Tf von 273,15 K LG ALex
_________________ Wenn du gut sein willst, dann nimm zuerst an, daß du schlecht bist.
- Epiktet
|
|
 |
|
 |
|
chrisz
|
Betreff des Beitrags: Re: Week 6 Problems Verfasst: 08.04.2014, 17:00 |
|
| Versuchskaninchen |
 |
 |
Registriert: 20.11.2010, 16:48 Beiträge: 59
|
|
Eine neutrale Beobachtung
Ich denke es sind -8K und -9,84K gleichermaßen vertretbar, wobei ich mir das folgendermaßen erklären würde (das heißt nicht das es stimmen muss): Dabei gehe ich jetzt mal vom zwischenschritt -ln(xi) = (ΔH/R)*[ΔTf/(Tf^2)] aus
Ergebnis -8K Bei dieser Version geht man von der Vereinfachung aus das ln(xi) offenbar sehr nahe an 0 liegt, was bei sehr hohen Molenbrüchen an Komponente i (also unserem Wasser) der Fall ist. In dem Fall muss xs klein sein und somit kann man ln(xi) und xs gleichsetzen, weil sie beide gegen 0 gehen. Die Frage ist, inwieweit das zulässig ist bei einem xs von 0,077 da ich das für gar nicht mal so klein erachte. Man ersetzt also den ln durch das xs und formt um und erhält ΔTf = -8K.
Ergebnis -9,84K Man bleibt einfach bei -ln(xi) und formt nach ΔTf um. Theoretisch sollte das genauso passen und ist wahrscheinlich auch genauer. Die Frage ist dann aber warum leitet unser Guru bis zur Formel mit xs ab, wenn man die nicht zur HÜ verwenden soll.
Wenn das Geschriebene jetzt nicht stimmt, möge man mich korrigieren.
Edith sagt: Oh bin übrigens grad durch excel draufgekommen, dass -ln(xi) so ca ziemlich genau gleich dem xs ist, solang man sich im Bereich xi=0,9...1,0 bewegt (Unterscheidet sich nur um 0,003 wenn man unsere Werte einsetzt). Darum tauscht er das aus bei der Ableitung. Trotzdem interessant wie groß der Unterschied zwischen beiden Versionen dann wird...
|
|
 |
|
 |
|
Lycaon
|
Betreff des Beitrags: Re: Week 6 Problems Verfasst: 08.04.2014, 17:30 |
|
| Eprouvettenschüttler/in |
 |
 |
Registriert: 07.01.2008, 16:21 Beiträge: 117
|
|
Die Vereinfachung von -ln(xi) ~ xs gilt streng genommen nur für relativ hohe Verdünnungen, mit den 1:10 (90% Solvens=Lösungsmittel) liegst du denk ich schon ganz gut. Ist ein wenig wie bei Henry's law.
Mal sehen, was er dazu sagt (ich würds jedenfalls als Anmerkung dazuschreiben).
|
|
 |
|
 |
|
RenateW
|
Betreff des Beitrags: Re: Week 6 Problems Verfasst: 08.04.2014, 17:41 |
|
| Versuchskaninchen |
 |
 |
Registriert: 29.01.2014, 11:50 Beiträge: 44
|
|
ich war am montag nicht in der vo daher schätz ich dass ich deshalb probleme mit Bsp.1 habe. Könnte jemand vl eine mitschrift posten??
Danke!!!
|
|
 |
|
 |
|
chrisz
|
Betreff des Beitrags: Re: Week 6 Problems Verfasst: 08.04.2014, 17:47 |
|
| Versuchskaninchen |
 |
 |
Registriert: 20.11.2010, 16:48 Beiträge: 59
|
|
Passt also hab ichs eh richtig kapiert und es sollte an sich für die HÜ auch mit der Vereinfachung gehn; ging nur sehr schnell die Ableitung und war mit schreiben beschäftigt und hab das wohl überhört.
Weißt du zufällig auch wie das mit der linken Seite bei der Integration war bei der Ableitung? Bei d(ΔG/T) hat mich das T doch verwirrt, weil für mich T auf der falschen Seite steht und es ja nicht konstant sein kann - man integriert ja rechts nach T. Wenn man es aber doch als Konstante vors Integral ziehen könnte, würde es sich eh rauskürzen.
Hab es mir dann so erklärt, dass die untere Grenze ΔG für den entsprechenden Solventanteil ist, also xi=0,9... und so RT*ln(xi) nicht 0 wird, und darum da steht. Obere Grenze wird dieser Term 0 weil ich von 100% Solvent ausgehe. ΔG° ist sowieso immer gleich und wird deshalb ignoriert, weil es sowieso wegfallen würde.
Gut und rechts is eh logisch Tf bis neuen Tf integriern - ezpz.
Und nur noch eins über das ich mich gewundert hab: Woher nimmt er die Ausgangsgleichung d(ΔG/T)/dT = -ΔH/(T^2) - gefunden habe ich sie weder in der Mitschrift, noch im Buch in den ersten 7 Kapiteln.
|
|
 |
|
 |
|
Lycaon
|
Betreff des Beitrags: Re: Week 6 Problems Verfasst: 08.04.2014, 18:23 |
|
| Eprouvettenschüttler/in |
 |
 |
Registriert: 07.01.2008, 16:21 Beiträge: 117
|
Ich hab hier nen link für dich http://www.hs-emden-leer.de/fileadmin/user_upload/Labore/Physikalische_Chemie/Anleitungen_pdf/PC17.pdfAb Seite 2 wirds erklärt. Gleichung 5 ist die, die auch wir so aufgeschrieben haben, nur noch ohne Integral. Außerdem steht dort das chemische Potential anstatt der freien Enthalpie drin - ich weiß selbst nicht genau, wieso. Ich nehme an, dass Wilson mit deltaG die molare freie Enthalpie meint, denn µ = G/n = G(molar) - 2. Novalin-Thermodynamik-Skript, Seite 139 Gleichung 8.2.4. Das chem. Potential ist eine partielle molare Größe und ein Synonym für die molare freie Enthalpie. Allerdings ist das schon mehr Thermodynamik und schon ein Weilchen her  Weiter unten bei Gleichung 6 (vom link) steht auch das mit den verdünnten Lösungen.
|
|
 |
|
 |
|
berry
|
Betreff des Beitrags: Re: Week 6 Problems Verfasst: 08.04.2014, 18:52 |
|
| Eprouvettenschüttler/in |
 |
 |
Registriert: 07.09.2010, 15:05 Beiträge: 174
|
Hallo, ihr lieben! Irgendwie habe ich mich anscheinend beim 2. Beispiel mit den Einheiten komplett verhaut, komme aber (auch nach einmal drüber schlafen) einfach nicht drauf  vielleicht findet jemand von euch meinen Fehler?  edit: Dateianhang entfernt nach Fehler-Findung 
Zuletzt geändert von berry am 08.04.2014, 19:21, insgesamt 1-mal geändert.
|
|
 |
|
 |
|
Lycaon
|
Betreff des Beitrags: Re: Week 6 Problems Verfasst: 08.04.2014, 19:08 |
|
| Eprouvettenschüttler/in |
 |
 |
Registriert: 07.01.2008, 16:21 Beiträge: 117
|
Auf den ersten Blick solltest du den Druck in Pascal umrechnen, du bist da ein paar Zehner-Potenzen zu klein (ich hab zb. 80,285 und 165,75 für die ersten beiden Werte). Die Dichte beträgt 880kg/m³. Dann ändert sich auch die Steigung auf 17,663 (auch da bist 4 Kommastellen zu klein). Jetzt kannst du einfach mit R = 8,314 J/molK rechnen. Du kommst dadurch auf kg/mol. Wenn man mit SI-Einheiten rechnet hat das immer seine Vorteile, da kann nix passieren 
|
|
 |
|
 |
|
berry
|
Betreff des Beitrags: Re: Week 6 Problems Verfasst: 08.04.2014, 19:20 |
|
| Eprouvettenschüttler/in |
 |
 |
Registriert: 07.09.2010, 15:05 Beiträge: 174
|
Ach herje, so einfach wärs gewesen  Dankeschön, jetzt hab ichs endlich auch geschafft 
|
|
 |
|
 |
|
chrisz
|
Betreff des Beitrags: Re: Week 6 Problems Verfasst: 08.04.2014, 20:25 |
|
| Versuchskaninchen |
 |
 |
Registriert: 20.11.2010, 16:48 Beiträge: 59
|
Herzlichen Dank für die Erleuchtung Lycaon 
|
|
 |
|
 |
|
lisasophie
|
Betreff des Beitrags: Re: Week 6 Problems Verfasst: 09.04.2014, 09:33 |
|
| Versuchskaninchen |
 |
 |
Registriert: 07.10.2009, 13:58 Beiträge: 13
|
|
immer noch nicht schlauer bzgl xs ud xi.... ... wie komm ich denn auf die 0,077 für xs?
|
|
 |
|
 |
|