| Autor |
Nachricht |
|
Lycaon
|
Betreff des Beitrags: Week 2 2014 Verfasst: 10.03.2014, 17:50 |
|
| Eprouvettenschüttler/in |
 |
 |
Registriert: 07.01.2008, 16:21 Beiträge: 117
|
|
Kann hier bitte jemand die Angabe der 2. Woche posten? Konnte heute leider nicht in die Vorlesung kommen. Vielen Dank!
|
|
 |
|
 |
|
RenateW
|
Betreff des Beitrags: Re: Week 2 2014 Verfasst: 10.03.2014, 22:05 |
|
| Versuchskaninchen |
 |
 |
Registriert: 29.01.2014, 11:50 Beiträge: 44
|
|
Beispiel 2 chemical equilibrium: The formation of glucose-6-phosphate from glucose and inorganic phosphate (Pi) is unfavourable (deltaG°'=+17.1kJ/mol). On the other hand, the hydrolysis of phosphoenolpyruvat (PEP) to form pyruvat and Pi is highly favourable (deltaG°'=-55.2kJ/mol).
(a) Show how there reactions can be coupled to the synthesis OR hydrolysis of ATP, given that H2O+ATP<-->ADP+Pi has deltaG°'=30.5kJ/mol. AND calculate the equilibrium constants (biochemical standard states) for these coupled reactions at T=310K.
(b) If the atual concentrations of ATP, ADP and Pi in a cell are, respectively 10mM, 3mM and 1mM, is the hydrolysis reaction actually at equilibrium?
|
|
 |
|
 |
|
RenateW
|
Betreff des Beitrags: Re: Week 2 2014 Verfasst: 10.03.2014, 23:55 |
|
| Versuchskaninchen |
 |
 |
Registriert: 29.01.2014, 11:50 Beiträge: 44
|
|
 |
|
 |
|
Lycaon
|
Betreff des Beitrags: Re: Week 2 2014 Verfasst: 11.03.2014, 06:04 |
|
| Eprouvettenschüttler/in |
 |
 |
Registriert: 07.01.2008, 16:21 Beiträge: 117
|
Vielen lieben Dank!  Edit: Sollte bei der Reaktion ATP -> ADP nicht -30,5 kJ/mol stehen? Und ich verstehe leider nicht ganz was er will, soll ich alle drei Reaktionen koppeln oder jeweils nur 2 (also ATP+Glukose und ATP+PEP getrennt - so würds ich machen)? Noch was: bei Punkt b) möchte er wissen, ob ein Gleichgewicht besteht. Dazu würde ich die Formel deltaG = deltaG°' + RTlnK nehmen. Nur will er das ganze für die gekoppelte Hydrolyse wissen oder nur für die -30,5 kJ/mol? Für die einfache Hydrolyse käme ich bei den genannten Konzentrationen auf -51,4 kJ/mol, deshalb besteht kein Gleichgewicht. deltaG = -30500 + 8,314*310*0,0003 = -51406,68...
|
|
 |
|
 |
|
catti
|
Betreff des Beitrags: Re: Week 2 2014 Verfasst: 11.03.2014, 19:19 |
|
| Versuchskaninchen |
 |
 |
Registriert: 14.11.2006, 21:38 Beiträge: 66
|
|
Hi!
Hier die Angaben der Week 2 Problems… Beide Beispiele wurden in vergangen Jahren schon mal durchgenommen, sollt also schaffbar sein!
| Dateianhänge: |

Foto-3.JPG [ 523.04 KiB | 929-mal betrachtet ]
|
|
|
 |
|
 |
|
RenateW
|
Betreff des Beitrags: Re: Week 2 2014 Verfasst: 11.03.2014, 20:02 |
|
| Versuchskaninchen |
 |
 |
Registriert: 29.01.2014, 11:50 Beiträge: 44
|
|
Hey ich hab Probleme mit dem 1 Beispiel stehe trotz VO Besuch echt auf der Leitung. Mit fehlt total der Ansatz wäre über Hilfe echt dankbar.
dafür hier meine Version vom zweiten Beispiel.
LG
| Dateianhänge: |
26111201.PDF [355.85 KiB]
641-mal heruntergeladen
|
|
|
 |
|
 |
|
Triologie
|
Betreff des Beitrags: Re: Week 2 2014 Verfasst: 11.03.2014, 21:46 |
|
| Mikroskopierer/in |
 |
 |
Registriert: 18.08.2010, 20:36 Beiträge: 236
|
|
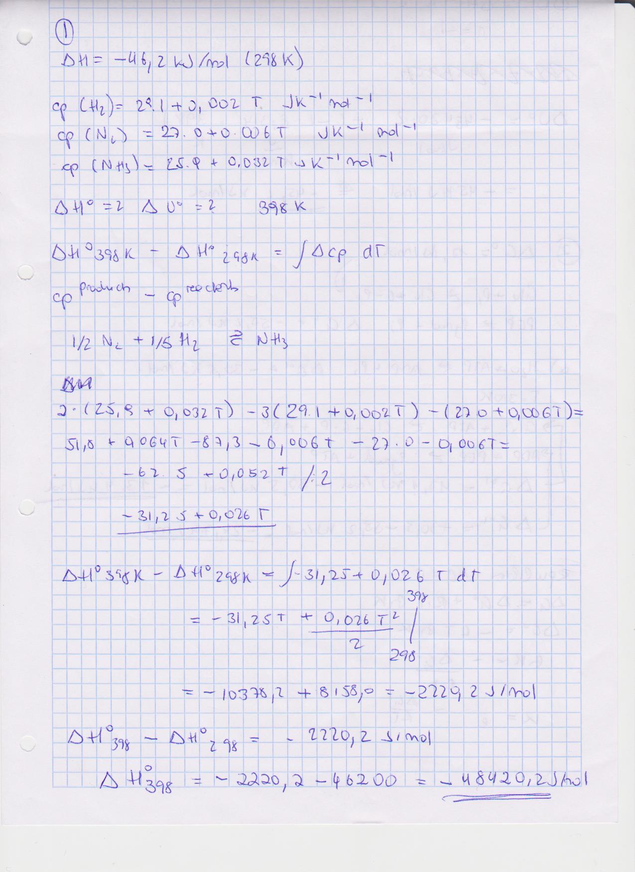
Du musst nur die Änderung von c_p berechnen... zwischen Produkte und Edukte. Das Ergebnis ist ein Term der Form x + y*T... diesen Term musst du nach T integrieren mit den geeigneten Grenzen. Letztendlich kannst du dir dann mit der bekannten Enthalpie bei 298 K die Enthalpie bei 398 K berechnen, und darüber kommst du dann auch auf U. Die nötige Gleichung haben wir letzte Woche durchgemacht.
|
|
 |
|
 |
|
MagdalenaTeufl
|
Betreff des Beitrags: Re: Week 2 2014 Verfasst: 11.03.2014, 21:57 |
|
| Versuchskaninchen |
 |
 |
Registriert: 07.11.2009, 16:17 Beiträge: 5
|
|
 |
|
 |
|
Lycaon
|
Betreff des Beitrags: Re: Week 2 2014 Verfasst: 12.03.2014, 06:03 |
|
| Eprouvettenschüttler/in |
 |
 |
Registriert: 07.01.2008, 16:21 Beiträge: 117
|
|
Komme auf die gleichen Ergebnisse, und danke fürs Hochladen!
|
|
 |
|
 |
|
Borchert
|
Betreff des Beitrags: Re: Week 2 2014 Verfasst: 12.03.2014, 06:49 |
|
| Versuchskaninchen |
 |
 |
Registriert: 06.10.2010, 18:32 Beiträge: 8
|
|
Ich bekomme auch das gleiche raus!
|
|
 |
|
 |
|
TanjaZ
|
Betreff des Beitrags: Re: Week 2 2014 Verfasst: 12.03.2014, 17:38 |
|
| Versuchskaninchen |
 |
 |
Registriert: 06.11.2009, 10:03 Beiträge: 12
|
Kann es sein dass du dich da bei bsp 1 bei der reaktiosgleichung verschrieben hast? Du schreibst + 1/5 H2 es müssten aber 2/3 H2 sein. Die rechnung stimmt dann aber eh wieder 
|
|
 |
|
 |
|