Statistiken
Posts
29.525
Topics
30.063
LBT USER
12.110
 
 
Im Forum online
263
Besucher
0
Registrierter
263
Gäste
Mitglieder: 0 Mitglieder
 
 
LBT - Lebensmittel und Biotechnologie • Thema anzeigen - Mesomere Grenzstrukuren von Dihydrogenphosphat
Ein neues Thema erstellen Auf das Thema antworten  [ 5 Beiträge ] 
Autor Nachricht
 Betreff des Beitrags: Mesomere Grenzstrukuren von Dihydrogenphosphat
 Beitrag Verfasst: 18.02.2011, 13:27 
Mikroskopierer/in
Mikroskopierer/in

Registriert: 18.06.2010, 09:39
Beiträge: 186
darf man die Doppelbindung auch zwischen O und H machen?


Nach oben 
   
 
 Betreff des Beitrags: Re: Mesomere Grenzstrukuren von Dihydrogenphosphat
 Beitrag Verfasst: 18.02.2011, 14:18 
Stammzellenforscher/in
Stammzellenforscher/in
LBT User Foto

Registriert: 28.09.2009, 20:48
Beiträge: 684
Nein, weil für H und O die Oktettregel gilt, sie dürfen also net mehr als 2/8 e- besitzen. Selbst wenn du die Doppelbindungen anders ansetzen würdest, wären da zu viele Partialladungen vorhanden, was ja vermieden werden soll. Übrigens: Wasserstoff hat ja nur 1 e-, wie soll er 2 Bindungen eingehen? ;)


Nach oben 
   
 
 Betreff des Beitrags: Re: Mesomere Grenzstrukuren von Dihydrogenphosphat
 Beitrag Verfasst: 18.02.2011, 14:22 
Mikroskopierer/in
Mikroskopierer/in

Registriert: 18.06.2010, 09:39
Beiträge: 186
sastleitner hat geschrieben:
Nein, weil für H und O die Oktettregel gilt, sie dürfen also net mehr als 2/8 e- besitzen. Selbst wenn du die Doppelbindungen anders ansetzen würdest, wären da zu viele Partialladungen vorhanden, was ja vermieden werden soll. Übrigens: Wasserstoff hat ja nur 1 e-, wie soll er 2 Bindungen eingehen? ;)


ups ich meinte zwischen jedem O und dem Phosphat?


Nach oben 
   
 
 Betreff des Beitrags: Re: Mesomere Grenzstrukuren von Dihydrogenphosphat
 Beitrag Verfasst: 18.02.2011, 14:28 
Mikroskopierer/in
Mikroskopierer/in

Registriert: 18.06.2010, 09:39
Beiträge: 186
newbie18 hat geschrieben:
sastleitner hat geschrieben:
Nein, weil für H und O die Oktettregel gilt, sie dürfen also net mehr als 2/8 e- besitzen. Selbst wenn du die Doppelbindungen anders ansetzen würdest, wären da zu viele Partialladungen vorhanden, was ja vermieden werden soll. Übrigens: Wasserstoff hat ja nur 1 e-, wie soll er 2 Bindungen eingehen? ;)


ups ich meinte zwischen jedem O und dem Phosphat?


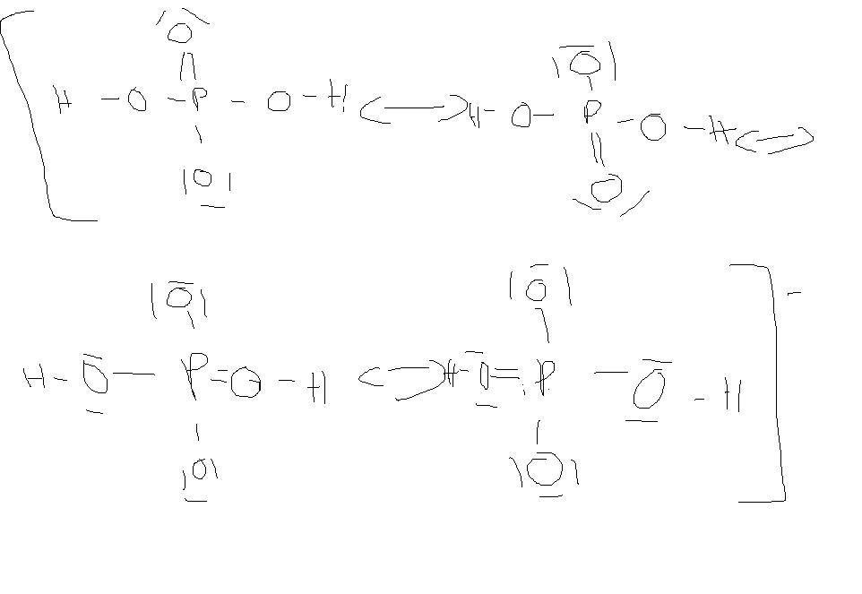
sind das dann eh die mesomeren grenzformen?
Dateianhang:
Unbenannt3.jpg
Unbenannt3.jpg [ 33.33 KiB | 1025-mal betrachtet ]


Nach oben 
   
 
 Betreff des Beitrags: Re: Mesomere Grenzstrukuren von Dihydrogenphosphat
 Beitrag Verfasst: 18.02.2011, 14:33 
Stammzellenforscher/in
Stammzellenforscher/in
LBT User Foto

Registriert: 28.09.2009, 20:48
Beiträge: 684
Die letzen 2 kannst du verwerfen, da gibt's 3 Partialladungen, das is' zuviel. Ansonsten passt's.


Nach oben 
   
 
Beiträge der letzten Zeit anzeigen:  Sortiere nach  
 
Ein neues Thema erstellen Auf das Thema antworten  [ 5 Beiträge ] 

Foren-Übersicht » Studieneingangsphase » Einführung in die Chemie VO


Wer ist online?

Mitglieder in diesem Forum: 0 Mitglieder und 7 Gäste

 
 

 
Du darfst keine neuen Themen in diesem Forum erstellen.
Du darfst keine Antworten zu Themen in diesem Forum erstellen.
Du darfst deine Beiträge in diesem Forum nicht ändern.
Du darfst deine Beiträge in diesem Forum nicht löschen.
Du darfst keine Dateianhänge in diesem Forum erstellen.

Suche nach:
Gehe zu: