| Autor |
Nachricht |
|
mikrotubuli
|
Betreff des Beitrags: 3.Einheit Verfasst: 11.11.2009, 13:26 |
|
| Mikroskopierer/in |
 |
 |
Registriert: 06.11.2008, 12:01 Beiträge: 196
|
|
Hab heute mal das 1.Beispiel abgegeben. Mein Ergebnis war eine Dissoziationskonstante von 0,4%. Bin mir nicht wirklich sicher, ob das stimmen kann.
|
|
 |
|
 |
|
whobe
|
Betreff des Beitrags: Re: 3.Einheit Verfasst: 11.11.2009, 18:30 |
|
| Versuchskaninchen |
 |
 |
Registriert: 01.10.2009, 15:19 Beiträge: 4
|
|
Ich hab 0,002% beim 1. Beispiel.
Und probleme mit dem 4.
|
|
 |
|
 |
|
yasmin
|
Betreff des Beitrags: Re: 3.Einheit Verfasst: 12.11.2009, 18:39 |
|
| Eprouvettenschüttler/in |
 |
 |
Registriert: 07.10.2009, 15:29 Beiträge: 156
|
|
hi, also ich schaffs irgendwie nicht, beim 3. bsp die gleichung aufzuschreiben, könnt mir da vll wer helfen? wär ur lieb!!
ach ja, beim ersten bsp hab ich auch 0,002 % rausgekriegt.
|
|
 |
|
 |
|
mikrotubuli
|
Betreff des Beitrags: Re: 3.Einheit Verfasst: 12.11.2009, 19:43 |
|
| Mikroskopierer/in |
 |
 |
Registriert: 06.11.2008, 12:01 Beiträge: 196
|
|
Wie war denn beim 1.Beispiel euer Ansatz?
|
|
 |
|
 |
|
VerenaT
|
Betreff des Beitrags: Re: 3.Einheit Verfasst: 15.11.2009, 10:01 |
|
| Versuchskaninchen |
 |
 |
Registriert: 17.10.2009, 07:16 Beiträge: 31
|
Hallo! Ich kenn mich bei Beispiel 2.3 überhaupt nicht aus nicht mal irgendwie =( kenn mich Nüsse aus wusste nicht mal das man eine Gleichung aufstellen muss lg
|
|
 |
|
 |
|
VerenaT
|
Betreff des Beitrags: Re: 3.Einheit Verfasst: 15.11.2009, 10:07 |
|
| Versuchskaninchen |
 |
 |
Registriert: 17.10.2009, 07:16 Beiträge: 31
|
|
So zu Beispiel 1, kommt bei mir auch 0,002 raus
4*10^-10= c(H+)^2 c(cHCN)
c(h+)^2=4*10^-10 *1 = 2*10^-5
(cH+) = 2*10^-5 mol/l
=0,002%
Habt ihr einen anderen Rechenweg genommen!
lg
|
|
 |
|
 |
|
xxSTEPHANxx
|
Betreff des Beitrags: Re: 3.Einheit Verfasst: 15.11.2009, 11:19 |
|
| Versuchskaninchen |
 |
 |
Registriert: 16.09.2009, 11:34 Beiträge: 46
|
Hey,... Nachdem ich mich bei der Einheit 3 mehr oder weniger gar keinen Schimmer hatte, habe ich mir einen Nachhilfe Lehrer rausgesucht! Leider war das eher Fehler, er hat mir quasi alles vorgerechnet (habe keine Ahnung was er gamacht hat) und bei meinen Fragen sagte er nur: Na weil das eben so ist  Hab dann natürlich nach einiger Zeit unterbrochen und bin gegangen, weil sowas ja keinen Sinn hat! Ich denke er hat auch zum Teil nicht richtig gerechnet! Weiß jemand ob das Beispiel stimmen kann (2.2)? a) Ls= 0,1mol * 1^-1 ; cb = 2g * 1000ml * 1^-1 / 82,0g * mol^-1 * 200ml = 0,122mol * 1^-1 pKs= 4,74 Einsetzen in die Gleichung: (2,65) pH= 4,74+log = 0,122/0,1 = 4,83 --> a) b) OH^- + HAc <----> H2o + Ac^- 0,2 * 5/ 205 200 * 0,1/205 0,122 * 200/205 20 -1/205 24,4 +1/205 Gleichung. 2,65 PH= 4.74 + log 25,4/19 = 4,74 +0,13 = 4,87 --> b C) H3= + Ac^- <---> H2O + HAc 0,2 * 5/205 0,122*200/ 205 200*0,1/205 24,4 - 1/205 20+1/205 Ph= 4,74 +log 23,4/21 = 4,74+0,05 =4,79 -->c Habt ihr das schon gerechnet und wisst ob das stimmen kann? mfg
|
|
 |
|
 |
|
Can ky
|
Betreff des Beitrags: Re: 3.Einheit Verfasst: 15.11.2009, 13:11 |
|
| Versuchskaninchen |
 |
 |
Registriert: 06.02.2009, 11:37 Beiträge: 68
|
|
@VerenaT hab genau den selben Rechenweg, Ergebnis: 0,002% @3.1 das bsp 1 war fast schon zu leicht, bin ich gar nicht gewohnt in chem rechnen *g* ein bsp, das sogar "ich" im alleingang lösen kann, muss ja deppen einfach sein ;P
edit2: teil des beitrags gelöscht.
Zuletzt geändert von Can ky am 15.11.2009, 13:51, insgesamt 2-mal geändert.
|
|
 |
|
 |
|
Reinhold
|
Betreff des Beitrags: Re: 3.Einheit Verfasst: 15.11.2009, 13:31 |
|
| Versuchskaninchen |
 |
 |
Registriert: 12.10.2009, 16:51 Beiträge: 7
|
|
@stephan: ich kam bei 3.2 auf die selben 3 ergebnisse.....
|
|
 |
|
 |
|
Jenny
|
Betreff des Beitrags: Re: 3.Einheit Verfasst: 15.11.2009, 14:28 |
|
| Versuchskaninchen |
 |
 |
Registriert: 14.09.2009, 10:44 Beiträge: 23
|
|
Bei Beispiel 4 verstehe ich nur Bahnhof =(
Hab zwar paar mal etwas gerechnet aber kommt immer was anderes raus! Wär jemand so nett und könnte mir die rechenschritte erklären?
lg
|
|
 |
|
 |
|
Waldi
|
Betreff des Beitrags: Re: 3.Einheit Verfasst: 15.11.2009, 15:15 |
|
| Versuchskaninchen |
 |
 |
Registriert: 30.09.2009, 07:02 Beiträge: 19
|
|
Bei Beispiel 1 und 2 komme ich auf die selben Ergebnisse!
2.1 = 0,002 2.2 a) 4,83g b)4,87g c) 4,7g
Hat schon jemand für die Beispiele auch Punkte bekommen, also der sicher sagen kann, dass das richtig ist! Wär cool =D
Bei den letzten Beispiel 2.4 hänge ich auch total, wär auch dankbar für hilfe...
mfg
|
|
 |
|
 |
|
lukas3101
|
Betreff des Beitrags: Re: 3.Einheit Verfasst: 15.11.2009, 16:24 |
|
| Versuchskaninchen |
 |
 |
Registriert: 20.10.2009, 10:52 Beiträge: 1
|
Hey also bei Bsp 2 ist ja der ph Wert gefragt. Aber wieso gibt man den pH-Wert in g an?? lg Lukas
|
|
 |
|
 |
|
Waldi
|
Betreff des Beitrags: Re: 3.Einheit Verfasst: 15.11.2009, 16:27 |
|
| Versuchskaninchen |
 |
 |
Registriert: 30.09.2009, 07:02 Beiträge: 19
|
|
Hab mich einfach nur vertan vergiss die g dahinter!
|
|
 |
|
 |
|
karooo
|
Betreff des Beitrags: Re: 3.Einheit Verfasst: 15.11.2009, 16:35 |
|
| Versuchskaninchen |
 |
 |
Registriert: 10.10.2009, 13:32 Beiträge: 12
|
|
ich hab beim 1. bsp das gleiche Ergebnis wie ihr - auch beim bsp 2.a ich häng grad ziemlich bei 2.b - wie habts ihr des gerechnet?
kann es sein dass bei 3.3 pH=9.2578 rauskommt?? ich bin mir net sicher ob des stimmt..
|
|
 |
|
 |
|
Can ky
|
Betreff des Beitrags: Re: 3.Einheit Verfasst: 15.11.2009, 17:00 |
|
| Versuchskaninchen |
 |
 |
Registriert: 06.02.2009, 11:37 Beiträge: 68
|
|
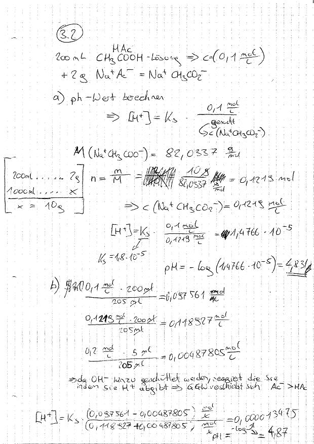
3.2a+b edit: 3.2c) funkt natürlich genau wie 3.2b)... nur, dass diesmal statt OH- ---> H+ reingeschüttet werden. dh.: im Zähler wird diesmal nicht subtrahiert, sondern addiert und im nenner ists diesmal auch genau umgekehrt. also erhält man ph=4,79
| Dateianhänge: |

Scannen09-11-15 1755.JPG [ 114.47 KiB | 1204-mal betrachtet ]
|
|
|
 |
|
 |
|